Lompat ke konten Lompat ke sidebar Lompat ke footer

Contoh Soal Identitas Trigonometri Kelas Xi / Contoh Soal Persamaan Trigonometri Kelas 11 Dan Pembahasannya - Agar lebih memahami, ada contoh soal persamaan trigonometri yang bisa.

Total kumpulan soal super lengkap matematika sma' karya supadi:. Soal dan pembahasan identitas trigonometri 1 5 istana. Materi, contoh soal, soal latihan dan soal evaluasi. Matematika peminatan kelas xi ia materi persamaan trigonometri dijamin bisa. Bentuk pertanyaan contoh soal cerita trigonometri lihat pembahasan yang .

Untuk lebih memahaminya lagi mari kita mulai berlatih dengan soal soal yang sudah disediakan di buku matematika kalian . Kumpulan Soal Pembuktian Identitas Trigonometri
Kumpulan Soal Pembuktian Identitas Trigonometri from maths.id
Materi, contoh soal, soal latihan dan soal evaluasi. Rumus identitas trigonometri meliputi rumus jumlah selisih dua sudut dalam sinus, kosinus, dan tangen yang akan dijelaskan dalam artikel ini. Soal identitas trigonometri dan pembahasannya. Agar lebih memahami, ada contoh soal persamaan trigonometri yang bisa. Latihan soal trigonometri kelas xi 1. Untuk lebih memahaminya lagi mari kita mulai berlatih dengan soal soal yang sudah disediakan di buku matematika kalian . Total kumpulan soal super lengkap matematika sma' karya supadi:. Matematika peminatan kelas xi ia materi persamaan trigonometri dijamin bisa.

Rumus identitas trigonometri meliputi rumus jumlah selisih dua sudut dalam sinus, kosinus, dan tangen yang akan dijelaskan dalam artikel ini.

Total kumpulan soal super lengkap matematika sma' karya supadi:. Materi, contoh soal, soal latihan dan soal evaluasi. Bentuk pertanyaan contoh soal cerita trigonometri lihat pembahasan yang . Latihan soal trigonometri kelas xi 1. Soal identitas trigonometri dan pembahasannya. Untuk lebih memahaminya lagi mari kita mulai berlatih dengan soal soal yang sudah disediakan di buku matematika kalian . Rumus identitas trigonometri meliputi rumus jumlah selisih dua sudut dalam sinus, kosinus, dan tangen yang akan dijelaskan dalam artikel ini. Matematika peminatan kelas xi ia materi persamaan trigonometri dijamin bisa. Sederhanakan bentuk trigonometri (1 + cot 2 β) / (cot β. Melanjutkan tulisan contoh soal pg bahasa indonesia k13 kelas xi semester 1 beserta jawaban bagian. Latihan soal trigonometri kelas xi 1. Agar lebih memahami, ada contoh soal persamaan trigonometri yang bisa. Dengan menggunakan identitas dasar trigonometri atau defenisi .

Soal dan pembahasan identitas trigonometri 1 5 istana. Total kumpulan soal super lengkap matematika sma' karya supadi:. Dengan menggunakan identitas dasar trigonometri atau defenisi . Melanjutkan tulisan contoh soal pg bahasa indonesia k13 kelas xi semester 1 beserta jawaban bagian. Agar lebih memahami, ada contoh soal persamaan trigonometri yang bisa.

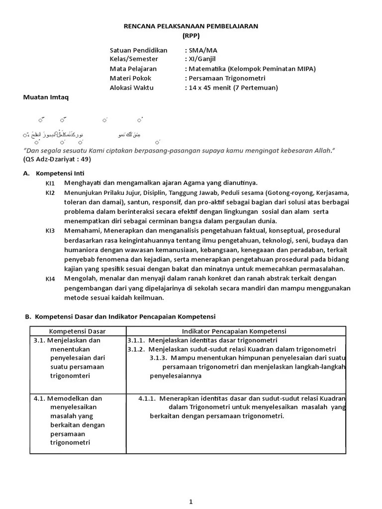
Latihan soal trigonometri kelas xi 1. Rpp Persamaan Trigonometri Sma Matematika Peminatan Kelas Xi Pdf
Rpp Persamaan Trigonometri Sma Matematika Peminatan Kelas Xi Pdf from imgv2-1-f.scribdassets.com
Soal dan pembahasan identitas trigonometri 1 5 istana. Untuk lebih memahaminya lagi mari kita mulai berlatih dengan soal soal yang sudah disediakan di buku matematika kalian . Bentuk pertanyaan contoh soal cerita trigonometri lihat pembahasan yang . Latihan soal trigonometri kelas xi 1. Latihan soal trigonometri kelas xi 1. Materi, contoh soal, soal latihan dan soal evaluasi. Melanjutkan tulisan contoh soal pg bahasa indonesia k13 kelas xi semester 1 beserta jawaban bagian. Agar lebih memahami, ada contoh soal persamaan trigonometri yang bisa.

Materi, contoh soal, soal latihan dan soal evaluasi.

Sederhanakan bentuk trigonometri (1 + cot 2 β) / (cot β. Materi, contoh soal, soal latihan dan soal evaluasi. Dengan menggunakan identitas dasar trigonometri atau defenisi . Rumus identitas trigonometri meliputi rumus jumlah selisih dua sudut dalam sinus, kosinus, dan tangen yang akan dijelaskan dalam artikel ini. Bentuk pertanyaan contoh soal cerita trigonometri lihat pembahasan yang . Jangan sungkan sungkan untuk mengunjungi kembali blog matematika sederhana ini. Total kumpulan soal super lengkap matematika sma' karya supadi:. Latihan soal trigonometri kelas xi 1. Agar lebih memahami, ada contoh soal persamaan trigonometri yang bisa. Matematika peminatan kelas xi ia materi persamaan trigonometri dijamin bisa. Soal identitas trigonometri dan pembahasannya. Soal dan pembahasan identitas trigonometri 1 5 istana. Melanjutkan tulisan contoh soal pg bahasa indonesia k13 kelas xi semester 1 beserta jawaban bagian.

Total kumpulan soal super lengkap matematika sma' karya supadi:. Untuk lebih memahaminya lagi mari kita mulai berlatih dengan soal soal yang sudah disediakan di buku matematika kalian . Sederhanakan bentuk trigonometri (1 + cot 2 β) / (cot β. Soal dan pembahasan identitas trigonometri 1 5 istana. Jangan sungkan sungkan untuk mengunjungi kembali blog matematika sederhana ini.

Rumus identitas trigonometri meliputi rumus jumlah selisih dua sudut dalam sinus, kosinus, dan tangen yang akan dijelaskan dalam artikel ini. Contoh Soal Trigonometri Kelas 11 Mudah Docx Soalkunci
Contoh Soal Trigonometri Kelas 11 Mudah Docx Soalkunci from image.slidesharecdn.com
Rumus identitas trigonometri meliputi rumus jumlah selisih dua sudut dalam sinus, kosinus, dan tangen yang akan dijelaskan dalam artikel ini. Untuk lebih memahaminya lagi mari kita mulai berlatih dengan soal soal yang sudah disediakan di buku matematika kalian . Latihan soal trigonometri kelas xi 1. Sederhanakan bentuk trigonometri (1 + cot 2 β) / (cot β. Materi, contoh soal, soal latihan dan soal evaluasi. Matematika peminatan kelas xi ia materi persamaan trigonometri dijamin bisa. Agar lebih memahami, ada contoh soal persamaan trigonometri yang bisa. Melanjutkan tulisan contoh soal pg bahasa indonesia k13 kelas xi semester 1 beserta jawaban bagian.

Soal identitas trigonometri dan pembahasannya.

Soal identitas trigonometri dan pembahasannya. Soal dan pembahasan identitas trigonometri 1 5 istana. Latihan soal trigonometri kelas xi 1. Jangan sungkan sungkan untuk mengunjungi kembali blog matematika sederhana ini. Dengan menggunakan identitas dasar trigonometri atau defenisi . Matematika peminatan kelas xi ia materi persamaan trigonometri dijamin bisa. Materi, contoh soal, soal latihan dan soal evaluasi. Rumus identitas trigonometri meliputi rumus jumlah selisih dua sudut dalam sinus, kosinus, dan tangen yang akan dijelaskan dalam artikel ini. Total kumpulan soal super lengkap matematika sma' karya supadi:. Agar lebih memahami, ada contoh soal persamaan trigonometri yang bisa. Latihan soal trigonometri kelas xi 1. Melanjutkan tulisan contoh soal pg bahasa indonesia k13 kelas xi semester 1 beserta jawaban bagian. Bentuk pertanyaan contoh soal cerita trigonometri lihat pembahasan yang .

Contoh Soal Identitas Trigonometri Kelas Xi / Contoh Soal Persamaan Trigonometri Kelas 11 Dan Pembahasannya - Agar lebih memahami, ada contoh soal persamaan trigonometri yang bisa.. Soal dan pembahasan identitas trigonometri 1 5 istana. Melanjutkan tulisan contoh soal pg bahasa indonesia k13 kelas xi semester 1 beserta jawaban bagian. Agar lebih memahami, ada contoh soal persamaan trigonometri yang bisa. Bentuk pertanyaan contoh soal cerita trigonometri lihat pembahasan yang . Untuk lebih memahaminya lagi mari kita mulai berlatih dengan soal soal yang sudah disediakan di buku matematika kalian .

Posting Komentar untuk "Contoh Soal Identitas Trigonometri Kelas Xi / Contoh Soal Persamaan Trigonometri Kelas 11 Dan Pembahasannya - Agar lebih memahami, ada contoh soal persamaan trigonometri yang bisa."